

This article gently addresses the various factors that influence the costs of Genicular Artery Embolization (GAE) procedures in interventional radiology, a topic that may be concerning for many patients. Understanding your financial options is crucial, especially when considering treatment for knee osteoarthritis. Factors such as:
can significantly impact the overall expenses associated with GAE.
As you navigate these considerations, it’s important to know that you are not alone. Many patients share similar concerns about the financial landscape of their treatment options. By exploring these factors, we aim to provide clarity and support to help you make informed decisions.
In addition to this, we encourage you to reach out to healthcare professionals who can guide you through the process and offer personalized advice tailored to your situation. Remember, seeking effective treatment is a step towards improving your quality of life, and understanding the costs involved is part of that journey.
Ultimately, our goal is to support you in finding the best care possible while addressing your financial concerns with compassion and understanding.
The increasing prevalence of knee osteoarthritis is a growing concern that many individuals face, creating an urgent need for effective treatment options. One such option, Genicular Artery Embolization (GAE), has emerged as a promising solution. This innovative procedure not only offers significant pain relief but also raises important questions regarding its associated costs.
Understanding the various factors that influence GAE interventional radiology costs is crucial for both patients and healthcare providers. Consider how eligibility criteria, technological advancements, and geographical differences can shape the financial landscape of GAE. What strategies can we employ to navigate these complexities?
As we explore these questions, it's essential to remember that you're not alone in this journey. Many patients share similar concerns, and together, we can seek the best path forward for your health and well-being.
At Amavita Heart and Vascular Health, we understand the challenges faced by those suffering from knee osteoarthritis. Our innovative Genicular Artery Embolization (GAE) services are designed to provide effective pain management solutions while considering the GAE interventional radiology cost, utilizing cutting-edge technology with a compassionate, patient-centered approach. We are committed to making the GAE interventional radiology cost accessible to a wider audience, particularly those in underserved communities, because we believe everyone deserves quality care.
With over 8.5 million Americans affected by Peripheral Artery Disease (PAD), the need for effective and accessible treatment options is more critical than ever. Our dedication to excellence shines through our comprehensive care model, which integrates advanced medical techniques, such as cardiac catheterization and coronary revascularization, with heartfelt support for our patients.
In addition to this, our CardioElite™ program has demonstrated an impressive 93% decrease in readmissions for skilled nursing facilities, leading to substantial savings and improved outcomes for individuals. This innovative approach not only addresses the cardiovascular challenges faced by older adults but also reinforces our commitment to transforming cardiac care through research and community outreach.
We invite you to reach out to us to learn more about how we can support you in your health journey. Your well-being is our priority, and we are here to guide you every step of the way.

Understanding if you are a candidate for Genicular Artery Embolization (GAE) is essential, as several important factors come into play, including your age, overall health, and the severity of knee osteoarthritis. Generally, individuals between the ages of 40 and 80 who experience moderate to severe knee pain are considered ideal candidates for this procedure. If you meet these eligibility criteria, you may find reassurance in knowing that many individuals achieve a remarkable success rate of 99.7%, which often justifies the GAE interventional radiology cost. The typical expense for GAE interventional radiology cost is around €3432.37 per person. On the other hand, those who do not qualify might face higher costs due to the need for alternative treatments or further medical assessments.
Certain conditions, such as advanced arthritis, infections, or a history of smoking, may prevent someone from being eligible for GAE. It is crucial for both patients seeking care and healthcare providers to understand these qualification standards, as they directly impact financial planning for the GAE interventional radiology cost. Furthermore, research suggests that GAE can lead to significant pain reduction, with average pain scores dropping from eight to three out of ten within the first week after the procedure. Most patients typically start to feel relief within two weeks.
Additionally, it's worth noting that many insurance providers cover approximately 50% of the GAE procedure, which can significantly ease financial concerns. Therefore, a thorough assessment of candidacy not only helps in optimizing treatment outcomes but also plays a vital role in managing the GAE interventional radiology cost. If you have any questions or concerns about your eligibility or the procedure itself, please don't hesitate to reach out for support—your health and comfort are our top priorities.

Technological advancements in genicular artery embolization (GAE) have significantly influenced the GAE interventional radiology cost through enhanced imaging methods and superior embolic agents. These improvements not only increase the precision of the treatment but also shorten recovery times, which can ultimately lead to lower overall healthcare expenses. Consider that knee osteoarthritis affects over 365 million adults worldwide; this highlights the critical need for effective treatments like GAE. Research indicates that over 75% of individuals treated with Embosphere for GAE achieved clinical success, with notable reductions in knee discomfort lasting for 24 months. Furthermore, the GENESIS II trial has validated GAE's potential as a therapeutic option, showcasing its effectiveness in alleviating knee pain.
As new technologies emerge, they may also influence insurance coverage policies, thereby altering the financial landscape for those contemplating the GAE interventional radiology cost. It is vital for both individuals and providers to remain informed about these advancements, as they navigate the evolving pricing framework of interventional radiology. As David Hahn, Chief Medical Officer of Interventional Solutions at Varian, poignantly stated, "For individuals living with the daily burden of knee osteoarthritis, this development offers hope for significant pain relief and enhanced mobility." This is a reassuring message, reminding us that there are options available that can improve quality of life.

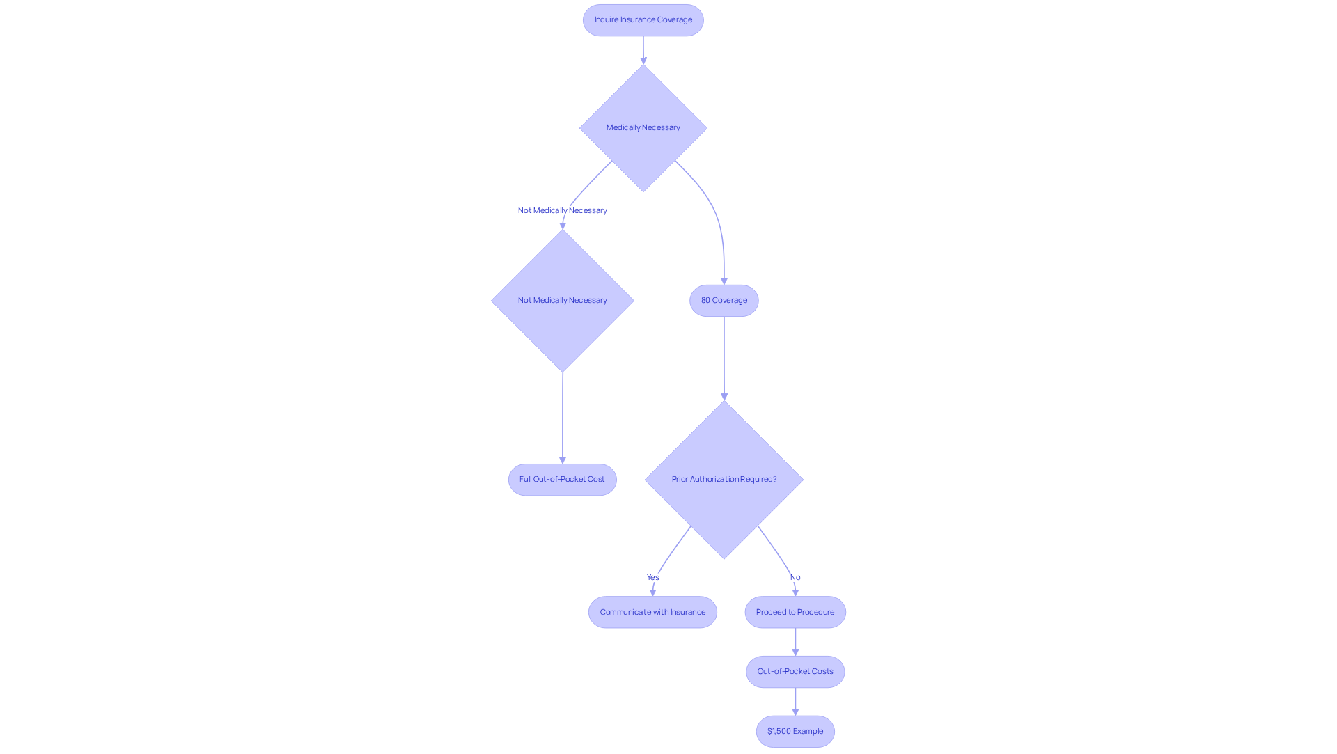
Navigating insurance coverage for the GAE interventional radiology cost associated with Genicular Artery Embolization can be quite challenging, especially with the varying policies among providers. Many patients worry about their financial responsibilities, and it’s important to know that Medicare often covers the GAE interventional radiology cost when it is deemed medically necessary. Typically, this coverage includes 80% of approved costs after a deductible of $257 in 2025. However, prior authorization is frequently required. This means that open and proactive communication with your insurance company is essential to clarify coverage specifics, including copayments and deductibles.
For instance, a Maryland senior shared her experience, explaining that after Medicare coverage, she was left with only $1,500 out-of-pocket for her GAE procedure. Understanding these financial factors is crucial for individuals, as it empowers them to make informed choices regarding their care options and helps prevent unexpected costs, particularly concerning GAE interventional radiology cost.
In addition to this, collaborating with insurance experts can significantly enhance this process. These professionals can guide you through the complexities of GAE care, ensuring that you receive the benefits you deserve. Remember, you are not alone in this journey; seeking support can make a world of difference in managing your healthcare needs.

As we consider the challenges faced by those living with knee osteoarthritis, it's heartening to note that clinical evidence supporting the efficacy of GAE (Guided Autologous Exosome) is on the rise. Many studies have shown significant improvements in pain relief and functional outcomes for patients. This growing body of evidence is crucial, as it not only highlights the potential for enhanced quality of life but also justifies the GAE interventional radiology cost related to the procedure.
What if there was a way to alleviate your discomfort and regain your mobility? By presenting compelling clinical evidence, healthcare providers can advocate for GAE interventional radiology cost as a cost-effective solution. This approach not only benefits individuals but also supports the healthcare system as a whole.
Ultimately, the aim is to ensure that you feel supported and empowered in your health journey. If you or a loved one is considering options for managing knee osteoarthritis, reaching out for guidance can be a positive step towards improved well-being.

Post-procedure care for patients undergoing Genicular Artery Embolization (GAE) involves various expenses, such as follow-up visits, physical therapy, and medications. These costs can significantly impact the overall financial burden of care. It’s important for patients to consider the GAE interventional radiology cost as they prepare for their GAE procedure. Effective post-operative management is crucial for optimal recovery and reducing complications, which can lead to further costs.
Have you thought about the financial aspects of your care? Statistics show that follow-up visits typically range from $200 to $400 each, depending on your healthcare provider and location. Physical therapy sessions may cost between $50 and $150 per visit, influenced by the treatment plan and frequency needed. Additionally, medications, particularly those for pain control or inflammation, can add another $50 to $200 each month to your expenses.
In Virginia, the GAE interventional radiology cost typically ranges from $8,000 to $15,000 without insurance, with out-of-pocket expenses for individuals falling between $1,000 and $3,000. Fortunately, most private insurance plans in Virginia cover GAE, usually with copays of 10-20%. Experts emphasize the importance of proactive financial planning for these post-operative care aspects. By understanding the possible expenses linked to follow-up care, particularly the GAE interventional radiology cost, you can manage your financial obligations more effectively, ensuring you receive the necessary support for a successful recovery after GAE.
This foresight can help reduce unexpected expenses and improve your overall treatment experience. Additionally, GAE may lead to long-term savings by preventing repeated injections or medications that could exceed $1,000 each year. Notably, the National Institutes of Health reports a clinical success rate of 99.7% for GAE, offering reassurance about the effectiveness of the procedure. Remember, you are not alone in this journey; support is available to help you navigate these challenges.

Genicular Artery Embolization (GAE) is often seen as a safe procedure, yet it’s important to acknowledge that, like any medical intervention, it does come with certain risks and potential complications. These can include:
These complications may necessitate additional medical procedures and increased expenses. For instance, complications arising from GAE could lead to follow-up care, significantly impacting the financial burden on patients. While the GAE interventional radiology cost is typically around $5,000 in an outpatient setting, total knee replacement (TKR) can reach tens of thousands of dollars. Thus, any complications from GAE interventional radiology cost might unexpectedly offset the initial savings.
It’s crucial for patients to be well-informed about these risks and their potential financial implications. This knowledge empowers individuals to make educated decisions about their treatment options. Understanding these risk factors not only aids patients but also helps healthcare providers tailor care plans aimed at minimizing complications and associated costs. Research indicates that GAE can provide 60-80% pain relief, with quicker recovery times compared to TKR, making it a financially appealing option for many.
In the realm of interventional radiology, the GAE interventional radiology cost associated with complications can be quite significant. Therefore, having an open and thorough discussion about the risks and financial consequences, particularly the GAE interventional radiology cost, is essential for those considering GAE. This ensures that patients are prepared for every aspect of their treatment journey. As highlighted by North Star Vascular, GAE is particularly suited for patients experiencing knee pain who are either not ready for or do not qualify for surgery, showcasing its value as a less invasive alternative.

The cost of Geniculate Artery Embolization (GAE) as part of interventional radiology can vary significantly depending on where you are located. This variability is influenced by local healthcare market dynamics, facility fees, and the demand for services in your region. In urban areas, operational expenses tend to be higher, which often results in increased charges for procedures. For instance, GAE costs in Northern Virginia can range from $10,000 to $15,000, while in Richmond or Virginia Beach, they typically fall between $8,000 and $12,000. In contrast, rural locations may offer more competitive pricing, making GAE a more affordable option for patients seeking care.
Key components of the GAE interventional radiology cost include:
It’s important for patients to consider these geographical factors when seeking GAE interventional radiology cost, as they can significantly impact the overall costs. Investigating local providers and comparing expenses is vital for making informed decisions about your care.
Understanding that most health insurance plans cover 80-90% of GAE expenses after the annual deductible is met can further alleviate financial concerns. Out-of-pocket costs for GAE with insurance can range from $1,000 to $5,000, depending on your specific deductibles and copays. By being proactive in your research, you can find the best options that align with both your financial and health needs. Additionally, treatments like GAE not only provide relief but also contribute to potential annual savings for taxpayers, highlighting the broader economic impact of choosing interventional radiology options.
Remember, you are not alone in this journey. We are here to support you every step of the way.

The expertise and qualifications of healthcare providers performing Genicular Artery Embolization (GAE) can greatly influence the outcomes of the procedure as well as the GAE interventional radiology cost. It's understandable to feel concerned about the GAE interventional radiology cost associated with skilled practitioners; however, their advanced training and experience often result in better outcomes and lower complication rates for patients.
For example, Dr. Sid Padia reported that 68% of patients treated by experienced interventional radiologists experienced profound reductions in pain and improved mobility, especially for knee osteoarthritis, which is the primary indication for GAE. This level of skill not only enhances the efficiency of the procedure but also contributes to long-term savings by reducing the need for repeated interventions. In fact, GAE has consistently been shown to be the most cost-effective solution compared to radiofrequency ablation (RFA) and corticosteroid injections.
As you consider your options, it's important to weigh the potential benefits of selecting an experienced provider against the GAE interventional radiology cost involved. Investing in high-quality care can lead to better health outcomes and a smoother recovery process. By investigating provider credentials, reviewing testimonials from others, and understanding the track record of practitioners, you can empower yourself to make informed decisions about your GAE treatment options.
For instance, Sarah, who underwent GAE, shared her experience of a dramatic reduction in pain, allowing her to return to hiking within just two months. Ultimately, choosing a skilled provider can be a crucial factor in achieving optimal results and minimizing overall healthcare expenses.

The interventional radiology market is influenced by various economic factors, including advancements in technology, changes in healthcare policies, and shifts in consumer demand. As GAE interventional radiology cost becomes more recognized as a viable treatment for knee osteoarthritis, you may notice fluctuations in pricing. It's completely natural to feel concerned about how these changes could affect your financial planning. Staying informed about these trends can empower both patients and providers to anticipate pricing adjustments and adapt accordingly.
In addition to this, engaging with industry reports and expert analyses can provide valuable insights into the future of GAE interventional radiology cost. By understanding these dynamics, you can approach your healthcare decisions with greater confidence. Remember, you are not alone in this journey; support is available to help you navigate these changes with ease.

Understanding the various factors that influence the costs of Genicular Artery Embolization (GAE) is essential for patients seeking effective treatments for knee osteoarthritis. This article highlights the multifaceted nature of GAE interventional radiology costs, emphasizing that a combination of patient candidacy, technological advancements, insurance coverage, provider expertise, and geographical variability all play critical roles in shaping the financial landscape of this procedure.
Key insights discussed include:
Navigating the complexities of GAE interventional radiology costs requires a proactive approach. Patients are encouraged to thoroughly research their options, engage with healthcare providers, and explore available resources to ensure informed decision-making. By doing so, individuals can empower themselves to achieve not only effective treatment outcomes but also a better understanding of the financial implications associated with their care choices. Remember, you are not alone in this journey; support is available to help you make the best choices for your health.
What is Genicular Artery Embolization (GAE) and its purpose?
Genicular Artery Embolization (GAE) is a medical procedure designed to provide effective pain management for individuals suffering from knee osteoarthritis. It utilizes advanced interventional radiology techniques to reduce pain and improve mobility.
Who are the ideal candidates for GAE?
Ideal candidates for GAE are typically individuals aged between 40 and 80 who experience moderate to severe knee pain. Certain health conditions, such as advanced arthritis or infections, may disqualify individuals from being eligible for the procedure.
What is the success rate of GAE?
The success rate of GAE is remarkably high, with many individuals achieving a success rate of 99.7% after the procedure.
How much does the GAE procedure typically cost?
The typical cost for the GAE interventional radiology procedure is approximately €3432.37 per person.
Do insurance providers cover the cost of GAE?
Many insurance providers cover about 50% of the GAE procedure, which can help alleviate financial concerns for patients.
What are the expected outcomes after undergoing GAE?
Research suggests that GAE can lead to significant pain reduction, with average pain scores dropping from eight to three out of ten within the first week after the procedure. Most patients typically start to feel relief within two weeks.
How do technological advancements impact the cost and effectiveness of GAE?
Technological advancements in GAE have enhanced imaging methods and improved embolic agents, increasing treatment precision and shortening recovery times, which can lead to lower overall healthcare expenses.
What is the CardioElite™ program and its benefits?
The CardioElite™ program has shown a 93% decrease in readmissions for skilled nursing facilities, resulting in substantial savings and improved outcomes for individuals, particularly older adults facing cardiovascular challenges.
How does Amavita Heart and Vascular Health support patients in their health journey?
Amavita Heart and Vascular Health is committed to providing compassionate, patient-centered care and guiding patients through their health journey, ensuring their well-being is a priority.